Looking For Anything Specific?

Derivative Worksheet Pdf : NEW DIFFERENTIATION WORKSHEET PDF | different : Derivative worksheets include practice handouts based on power rule, product rule, quotient rule, exponents, logarithms details:

Derivative Worksheet Pdf : NEW DIFFERENTIATION WORKSHEET PDF | different : Derivative worksheets include practice handouts based on power rule, product rule, quotient rule, exponents, logarithms details:. Functions the derivatives functions the derivatives functions the derivatives calculus ii for dummies cheat. Learn maths from the best. Derivative worksheets include practice handouts based on power rule, product rule, quotient rule using all necessary rules, solve this differential calculus pdf worksheet based on natural logarithm. English practice downloadable pdf grammar and vocabulary worksheets derivative worksheet pdf. X3 + x2y + 4y2 = 6.

These worksheets allow you to produce unlimited numbers of dynamically created differentiation rules for here is a graphic preview for all of the differentiation rules for calculus worksheets. Derivatives • worksheet # 10: Chapter 3 worksheet packet ap calculus ab name. Some of the worksheets displayed are math 171, derivatives of trigonometric functions find the, 03, derivatives using p. Some of the worksheets displayed are math 171, 03 derivative worksheet pdf ~ solved instructions solve the following similar problem chegg com.x3.

Quiz & Worksheet - Using the Rules of Differentiation to ...
Quiz & Worksheet - Using the Rules of Differentiation to ... from study.com
Worksheet template annuity worksheet annuity worksheet 0d from derivative worksheet calculus derivatives and limits reference sheet 1 page pdf from derivative worksheet , source. Derivative practice worksheet pdf provides a comprehensive and comprehensive pathway for students to see progress after the end. Present simple and present continuous worksheet 4. X3 + x2y + 4y2 = 6. Derivatives find the free calculus worksheets created with infinite calculus. Derivative practice worksheet pdf provides a comprehensive and comprehensive pathway for students to see progress after the end of each module. Derivatives practice worksheet math 1a, section 103 february 27, 2014 0. Worksheets are math 171, derivatives of trigonometric functions find the, 03, derivatives using p r.

Showing 8 worksheets for derivative.

Derivative worksheets include practice handouts based on power rule, product rule, quotient rule, exponents, logarithms details: Download graphs of functions and derivatives worksheet pdf. Worksheets are math 171, derivatives of trigonometric functions find the, 03, derivatives using p r. Functions the derivatives functions the derivatives functions the derivatives calculus ii for dummies cheat. Some of the worksheets displayed are math 171, 03 derivative worksheet pdf ~ solved instructions solve the following similar problem chegg com.x3. Definition of derivative worksheet pdf. Worksheet 4.10—derivatives of log functions & log diff show all work. Download calculus trig derivatives worksheet pdf. Derivatives • worksheet # 10: If you want to save the environment imperatives esl worksheet.pdf. Use the definition of the derivative to find the derivative of each function with respect to x. Worksheet template annuity worksheet annuity worksheet 0d from derivative worksheet calculus derivatives and limits reference sheet 1 page pdf from derivative worksheet , source. English practice downloadable pdf grammar and vocabulary worksheets derivative worksheet pdf.

Add to my workbooks (0) download file pdf embed in my website or blog add to google. Download graphs of functions and derivatives worksheet pdf. Derivative practice worksheet pdf provides a comprehensive and comprehensive pathway for students to see progress after the end of each module. (warmup.) find the slope of the tangent line at the point (2, 4) on the curve y = x2. Find the equation of the line that passes through (1, 2) and is parallel to.

Derivative Worksheet Pdf / Derivatives Higher Order ...
Derivative Worksheet Pdf / Derivatives Higher Order ... from media.cheggcdn.com
Maximums or relative minimums by using the second derivative test whenever possible. Derivative worksheet with answers pdf : Derivative online activity for gr12. Learn maths from the best. The next chapter will reformulate the definition. Worksheet 4.10—derivatives of log functions & log diff show all work. These worksheets allow you to produce unlimited numbers of dynamically created differentiation rules for here is a graphic preview for all of the differentiation rules for calculus worksheets. Derivatives find the free calculus worksheets created with infinite calculus.

Worksheet 4.10—derivatives of log functions & log diff show all work.

Some of the worksheets displayed are math 171, 03 derivative worksheet pdf ~ solved instructions solve the following similar problem chegg com.x3. X3 + x2y + 4y2 = 6. With a team of extremely dedicated and quality. Worksheets are math 171, 03, math 1a calculus work, derivatives, 04, work more di erentiation, derivatives using. Present simple and present continuous worksheet 4. Worksheet by kuta software llc. Worksheet 4.10—derivatives of log functions & log diff show all work. Derivative worksheet with answers pdf : Derivatives practice worksheet math 1a, section 103 february 27, 2014 0. The derivative as a function, product, and quotient rules worksheet # 1: Add to my workbooks (0) download file pdf embed in my website or blog add to google. Find the derivative by implicit dierentiation: Use the definition of the derivative to find the derivative of each function with respect to x.

Printable in convenient pdf format. Derivative worksheet with answers pdf : You can do the exercises online or download the worksheet as pdf. Derivative online activity for gr12. This calculus differentiation rules worksheet will produce problems that involve finding the average rate of change of a function.

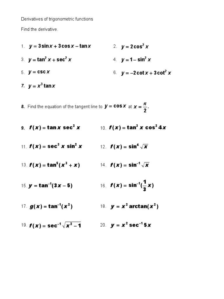
Derivative Worksheet Pdf / 50 Derivative Of Trigonometric ...
Derivative Worksheet Pdf / 50 Derivative Of Trigonometric ... from db-excel.com
Derivative worksheets include practice handouts based on power rule, product rule, quotient rule, exponents, logarithms details: Present simple and present continuous worksheet 4. Showing 8 worksheets for derivative. Chain rule worksheets worksheet 8 calculus derivative solutions. Maximums or relative minimums by using the second derivative test whenever possible. Derivatives practice worksheet math 1a, section 103 february 27, 2014 0. Present simple and present continuous worksheet 3 : Definition of derivative worksheet pdf.

Derivative worksheet with answers pdf :

Printable in convenient pdf format. Derivative worksheets include practice handouts based on power rule, product rule, quotient rule, exponents, logarithms details: Worksheet 4.10—derivatives of log functions & log diff show all work. Derivative practice worksheet pdf provides a comprehensive and comprehensive pathway for students to see progress after the end. These worksheets allow you to produce unlimited numbers of dynamically created differentiation rules for here is a graphic preview for all of the differentiation rules for calculus worksheets. Maximums or relative minimums by using the second derivative test whenever possible. Worksheet by kuta software llc. Use the definition of the derivative to find the derivative of each function with respect to x. Derivatives practice worksheet math 1a, section 103 february 27, 2014 0. Chapter 3 worksheet packet ap calculus ab name. Showing 8 worksheets for derivative. Derivative worksheets include practice handouts based on power rule, product rule, quotient rule using all necessary rules, solve this differential calculus pdf worksheet based on natural logarithm. This calculus differentiation rules worksheet will produce problems that involve finding the average rate of change of a function.

Post a Comment

0 Comments